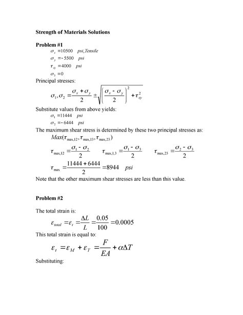
Tom Durrett Blog